2014 DistributedRepresentationsofWor

From GM-RKB
Jump to navigation Jump to search

Subject Headings: Noise Contrastive Estimation, Subsampling Frequent Words, Skip-Gram Embedding System, Distributional Word Embedding Modeling System.

Notes

Cited By

Quotes

Abstract

The recently introduced continuous Skip-gram model is an efficient method for learning high-quality distributed vector representations that capture a large number of precise syntactic and semantic word relationships. In this paper we present several improvements that make the Skip-gram model more expressive and enable it to learn higher quality vectors more rapidly. We show that by subsampling frequent words we obtain significant speedup, and also learn higher quality representations as measured by our tasks. We also introduce Negative Sampling, a simplified variant of Noise Contrastive Estimation (NCE) that learns more accurate vectors for frequent words compared to the hierarchical softmax. An inherent limitation of word representations is their indifference to word order and their inability to represent idiomatic phrases. For example, the meanings of "Canada" and "Air" cannot be easily combined to obtain "Air Canada". Motivated by this example, we present a simple and efficient method for finding phrases, and show that their vector representations can be accurately learned by the Skip-gram model.

1. Introduction

Distributed representations of words in a vector space help learning algorithms to achieve better performance in natural language processing tasks by grouping similar words. One of the earliest use of word representations dates back to 1986 due to Rumelhart, Hinton, and Williams. This idea has since been applied to statistical language modeling with considerable success (Bengio et al., 2003). The follow up work includes applications to automatic speech recognition and machine translation (Schwenk, 2007; Mikolov, 2012), and a wide range of NLP tasks (Collobert & Weston, 2008; Weston et al., 2011, Socher et al., 2011, Glorot et al., 2011; Turney & Pantel, 2010; Turney, 2013, Mikolov et al., 2013b)

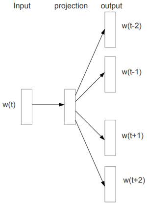
Recently, Mikolov et al. (2013a) introduced the Skip-gram model, an efficient method for learning high quality vector representations of words from large amounts of unstructured text data. Unlike most of the previously used neural network architectures for learning word vectors, training of the Skip-gram model (see Figure 1) does not involve dense matrix multiplications. This makes the training extremely efficient: an optimized single-machine implementation can train on more than 100 billion words in one day.

2013 DistributedRepresentationsofWor Fig1.png
Figure 1: The Skip-gram model architecture. The training objective is to learn word vector representations that are good at predicting the nearby words.

The word representations computed using neural networks are very interesting because the learned vectors explicitly encode many linguistic regularities and patterns. Somewhat surprisingly, many of these patterns can be represented as linear translations. For example, the result of a vector calculation vec(“Madrid”) - vec(“Spain”) + vec(“France”) is closer to vec(“Paris”) than to any other word vector (Mikolov et al., 2013b; Mikolov et al., 2013a).

In this paper, we present several extensions of the original Skip-gram model. We show that subsampling of frequent words during training results in a significant speedup (around 2× - 10×), and improves accuracy of the representations of less frequent words. In addition, we present a simplified variant of Noise Contrastive Estimation (NCE; Gutmann & Hyvarinen, 2012) for training the Skip-gram model that results in faster training and better vector representations for frequent words, compared to more complex hierarchical softmax that was used in the prior work (Mikolov et al., 2013a).

 Word representations are limited by their inability to represent idiomatic phrases that are not compositions of the individual words. For example, “Boston Globe” is a newspaper, and so it is not a natural combination of the meanings of “Boston” and “Globe”. Therefore, using vectors to represent the whole phrases makes the Skip-gram model considerably more expressive. Other techniques that aim to represent meaning of sentences by composing the word vectors, such as the recursive autoencoders (Socher et al., 2011), would also benefit from using phrase vectors instead of the word vectors.

The extension from word based to phrase based models is relatively simple. First we identify a large number of phrases using a data-driven approach, and then we treat the phrases as individual tokens during the training. To evaluate the quality of the phrase vectors, we developed a test set of analogical reasoning tasks that contains both words and phrases. A typical analogy pair from our test set is “Montreal”:“Montreal Canadiens”::“Toronto”:“Toronto Maple Leafs”. It is considered to have been answered correctly if the nearest representation to vec(“Montreal Canadiens”) - vec(“Montreal”) + vec(“Toronto”) is vec(“Toronto Maple Leafs”).

Finally, we describe another interesting property of the Skip-gram model. We found that simple vector addition can often produce meaningful results. For example, vec(“Russia”) + vec (“river”) is close to vec(“Volga River”), and vec(“Germany”) + vec (“capital”) is close to vec (“Berlin”). This compositionality suggests that a non-obvious degree of language understanding can be obtained by using basic mathematical operations on the word vector representations.

2. The Skip-gram Model

The training objective of the Skip-gram model is to find word representations that are useful for predicting the surrounding words in a sentence or a document. More formally, given a sequence of training words $w_1, w_2, w_3,\ldots , w_T$, the objective of the Skip-gram model is to maximize the average log probability

$\displaystyle \dfrac{1}{T} \sum_{t=1}^{T} \sum_{-c \leq j \leq c, j \neq 0} \log p\left(w_{t+j} \mid w_{t}\right)$ (1)

where $c$ is the size of the training context (which can be a function of the center word $w_t$). Larger $c$ results in more training examples and thus can lead to a higher accuracy, at the expense of the training time. The basic Skip-gram formulation defines $p \left(w_t + j|w_t\right)$ using the softmax function:

$p\left(w_{O} \mid w_{I}\right)=\dfrac{\exp \left(v_{w_{O}}^{\prime}{ }^{\top} v_{w_{I}}\right)}{\displaystyle \sum_{w=1}^{W} \exp \left(v_{w}^{\prime}{ }^{\top} v_{w_{I}}\right)}$ (2)

where $v_w$ and $v^{\prime}_w$ are the “input” and “outputvector representations of $w$, and $W$ is the number of words in the vocabulary. This formulation is impractical because the cost of computing $\nabla \log p\left(w_{O} \mid w_{I}\right)$ is proportional to $W$, which is often large (105–107 terms).

2.1 Hierarchical Softmax

A computationally efficient approximation of the full softmax is the hierarchical softmax. In the context of neural network language models, it was first introduced by Morin and Bengio (2005). The main advantage is that instead of evaluating $W$ output nodes in the neural network to obtain the probability distribution, it is needed to evaluate only about $log_2 (W)$ nodes.

The hierarchical softmax uses a binary tree representation of the output layer with the $W$ words as its leaves and, for each node, explicitly represents the relative probabilities of its child nodes. These define a random walk that assigns probabilities to words.

More precisely, each word $w$ can be reached by an appropriate path from the root of the tree. Let $n (w, j)$ be the $j$-th node on the path from the root to $w$, and let $L(w)$ be the length of this path, so $n (w, 1) = \mathrm{root}$ and $n (w, L (w)) = w$. In addition, for any inner node $n$, let $ch(n)$ be an arbitrary fixed child of $n$ and let $[x]$ be $1$ if x is true and $-1$ otherwise. Then the hierarchical softmax defines $p (w_O|w_I)$ as follows:

$p\left(w \mid w_{I}\right)=\displaystyle\prod_{j=1}^{L(w)-1} \sigma\left(\left[ n(w, j+1)=\operatorname{ch}(n(w, j))\right] \cdot v_{n(w, j)}^{\prime}{ }^{\top} v_{w_{I}}\right)$ (3)

where $\sigma (x) = 1 / (1 + \exp (−x))$. It can be verified that $\sum^W_{w=1} p (w|w_I) = 1$. This implies that the cost of computing $\log p (w_O|w_I)$ and $\nabla \log p (w_O|w_I)$ is proportional to $L (w_O)$, which on average is no greater than $\log W$. Also, unlike the standard softmax formulation of the Skip-gram which assigns two representations $v_w$ and $v^{\prime}_w$ to each word $w$, the hierarchical softmax formulation has one representation $v_w$ for each word $w$ and one representation $v^{\prime}_n$ for every inner node $n$ of the binary tree.

The structure of the tree used by the hierarchical softmax has a considerable effect on the performance. Mnih and Hinton explored a number of methods for constructing the tree structure and the effect on both the training time and the resulting model accuracy (Mnih & Hinton, 2009). In our work we use a binary Huffman tree, as it assigns short codes to the frequent words which results in fast training. It has been observed before that grouping words together by their frequency works well as a very simple speedup technique for the neural network based language models (Mikolov et al., 2011; Mikolov et al., 2013a).

2.2 Negative Sampling

An alternative to the hierarchical softmax is Noise Contrastive Estimation (NCE), which was introduced by Gutmann and Hyvarinen and applied to language modeling by Mnih and Teh. NCE posits that a good model should be able to differentiate data from noise by means of logistic regression. This is similar to hinge loss used by Collobert and Weston who trained the models by ranking the data above noise.

While NCE can be shown to approximately maximize the log probability of the softmax, the Skip-gram model is only concerned with learning high-quality vector representations, so we are free to simplify NCE as long as the vector representations retain their quality. We define Negative sampling (NEG) by the objective

$\log \sigma\left(v_{w_{O}}^{\prime}{ }^{\top} v_{w_{I}}\right)+\sum_{i=1}^{k} \mathbb{E}_{w_{i} \sim P_{n}(w)}\left[\log \sigma\left(-v_{w_{i}}^{\prime}{ }^{\top} v_{w_{I}}\right)\right]$ (4)

which is used to replace every $\log P (w_O|w_I)$ term in the Skip-gram objective. Thus the task is to distinguish the target word $w_O$ from draws from the noise distribution $P_n (w) using logistic regression, where there are $k$ negative samples for each data sample. Our experiments indicate that values of $k$ in the range 5–20 are useful for small training datasets, while for large datasets the $k$ can be as small as 2–5. The main difference between the Negative sampling and NCE is that NCE needs both samples and the numerical probabilities of the noise distribution, while Negative sampling uses only samples. And while NCE approximately maximizes the log probability of the softmax, this property is not important for our application.

Both NCE and NEG have the noise distribution $P_n(w)$ as a free parameter. We investigated a number of choices for $P_n(w)$ and found that the unigram distribution $U(w)$ raised to the 3/4rd power (i.e., $U (w)^{3/4}/Z$) outperformed significantly the unigram and the uniform distributions, for both NCE and NEG on every task we tried including language modeling (not reported here).

2.3 Subsampling of Frequent Words

In very large corpora, the most frequent words can easily occur hundreds of millions of times (e.g., “in”, “the”, and “a”). Such words usually provide less information value than the rare words. For example, while the Skip-gram model benefits from observing the co-occurrences of “France” and “Paris”, it benefits much less from observing the frequent co-occurrences of “France” and “the”, as nearly every word co-occurs frequently within a sentence with “the”. This idea can also be applied in the opposite direction; the vector representations of frequent words do not change significantly after training on several million examples.

To counter the imbalance between the rare and frequent words, we used a simple subsampling approach: each word $w_i$ in the training set is discarded with probability computed by the formula

$P\left(w_{i}\right)=1-\sqrt{\dfrac{t}{f\left(w_{i}\right)}}$ (5)

where $f(w_i)$ is the frequency of word $w_i$ and $t$ is a chosen threshold, typically around 10−5. We chose this subsampling formula because it aggressively subsamples words whose frequency is greater than $t$ while preserving the ranking of the frequencies. Although this subsampling formula was chosen heuristically, we found it to work well in practice. It accelerates learning and even significantly improves the accuracy of the learned vectors of the rare words, as will be shown in the following sections.

3 Empirical Results

In this section we evaluate the Hierarchical Softmax (HS), Noise Contrastive Estimation, Negative Sampling, and subsampling of the training words. We used the analogical reasoning task[1] introduced by Mikolov et al. (2013a). The task consists of analogies such as “Germany”: “Berlin”:: “France”: ?, which are solved by finding a vector $x$ such that $vec(x)$ is closest to vec (“Berlin”) - vec (“Germany”) + vec (“France”) according to the cosine distance (we discard the input words from the search). This specific example is considered to have been answered correctly if $x$ is “Paris”. The task has two broad categories: the syntactic analogies (such as “quick”: “quickly”:: “slow”: “slowly”) and the semantic analogies, such as the country to capital city relationship.

For training the Skip-gram models, we have used a large dataset consisting of various news articles (an internal Google dataset with one billion words). We discarded from the vocabulary all words that occurred times in the training data, which resulted in a vocabulary of size 692K. The performance of various Skip-gram models on the word analogy test set is reported in Table 1. The table shows that Negative Sampling outperforms the Hierarchical Softmax on the analogical reasoning task, and has even slightly better performance than the Noise Contrastive Estimation. The subsampling of the frequent words improves the training speed several times and makes the word representations significantly more accurate.

Method Time(min) Syntactic(%) Semantic(%) Total accuracy(%)
NEG-5 38 63 54 59
NEG-15 97 63 58 61
HS-Huffman 41 53 40 47
NCE-5 38 60 45 53
The following results use 10−5 subsampling
NEG-5 14 61 58 60
NEG-15 36 61 61 61
HS-Huffman 21 52 59 55
Table 1: Accuracy of various Skip-gram 300-dimensional models on the analogical reasoning task as defined in Mikolov et al. (2013a). NEG-k stands for Negative Sampling with $k$ negative samples for each positive sample; NCE stands for Noise Contrastive Estimation and HS-Huffman stands for the Hierarchical Softmax with the frequency-based Huffman codes.

It can be argued that the linearity of the skip-gram model makes its vectors more suitable for such linear analogical reasoning, but the results of Mikolov et al. (2013a) also show that the vectors learned by the standard sigmoidal recurrent neural networks (which are highly non-linear) improve on this task significantly as the amount of the training data increases, suggesting that non-linear models also have a preference for a linear structure of the word representations.

4 Learning Phrases

As discussed earlier, many phrases have a meaning that is not a simple composition of the meanings of its individual words. To learn vector representation for phrases, we first find words that appear frequently together, and infrequently in other contexts. For example, “New York Times” and “Toronto Maple Leafs” are replaced by unique tokens in the training data, while a bigramthis is” will remain unchanged.

This way, we can form many reasonable phrases without greatly increasing the size of the vocabulary; in theory, we can train the Skip-gram model using all n-grams, but that would be too memory intensive. Many techniques have been previously developed to identify phrases in the text; however, it is out of scope of our work to compare them. We decided to use a simple data-driven approach, where phrases are formed based on the unigram and bigram counts, using

$\operatorname{score} (w_i, w_j) = \dfrac{\text{count} (w_j) - \delta}{\text{count} (w_i) \times \text{count} (w_j) }$. (6)

The $\delta$ is used as a discounting coefficient and prevents too many phrases consisting of very infrequent words to be formed. The bigrams with score above the chosen threshold are then used as phrases. Typically, we run 2-4 passes over the training data with decreasing threshold value, allowing longer phrases that consists of several words to be formed. We evaluate the quality of the phrase representations using a new analogical reasoning task that involves phrases. Table 2 shows examples of the five categories of analogies used in this task. This dataset is publicly available on the web [2].

Newspapers
New York New York Times Baltimore Baltimore Sun
San Jose San Jose Mercury News Cincinnati Cincinnati Enquirer
NHL Teams
Boston Boston Bruins Montreal Montreal Canadiens
Phoenix Phoenix Coyotes Nashville Nashville Predators
NBA Teams
Detroit Detroit Pistons Toronto Toronto Raptors
Oakland Golden State Warriors Memphis Memphis Grizzlies
Airlines
Austria Austrian Airlines Spain Spainair
Belgium Brussels Airlines Greece Aegean Airlines
Company executives
Steve Ballmer Microsoft Larry Page Google
Samuel J. Palmisano IBM Werner Vogels Amazon
Table 2: Examples of the analogical reasoning task for phrases (the full test set has 3218 examples). The goal is to compute the fourth phrase using the first three. Our best model achieved an accuracy of 72% on this dataset.

4.1 Phrase Skip-Gram Results

Starting with the same news data as in the previous experiments, we first constructed the phrase based training corpus and then we trained several Skip-gram models using different hyperparameters. As before, we used vector dimensionality 300 and context size 5. This setting already achieves good performance on the phrase dataset, and allowed us to quickly compare the Negative Sampling and the Hierarchical Softmax, both with and without subsampling of the frequent tokens. The results are summarized in Table 3.

Method Dimensionality No subsampling (%) 10−5 subsampling (%)
NEG-5 300 24 27
NEG-15 300 27 42
HS-Huffman 300 19 47
Table 3: Accuracies of the Skip-gram models on the phrase analogy dataset. The models were trained on approximately one billion words from the news dataset.

The results show that while Negative Sampling achieves a respectable accuracy even with $k = 5$, using $k = 15$ achieves considerably better performance. Surprisingly, while we found the Hierarchical Softmax to achieve lower performance when trained without subsampling, it became the best performing method when we downsampled the frequent words. This shows that the subsampling can result in faster training and can also improve accuracy, at least in some cases.

To maximize the accuracy on the phrase analogy task, we increased the amount of the training data by using a dataset with about 33 billion words. We used the hierarchical softmax, dimensionality of 1000, and the entire sentence for the context. This resulted in a model that reached an accuracy of 72%. We achieved lower accuracy 66% when we reduced the size of the training dataset to 6B words, which suggests that the large amount of the training data is crucial.

To gain further insight into how different the representations learned by different models are, we did inspect manually the nearest neighbours of infrequent phrases using various models. In Table 4, we show a sample of such comparison. Consistently with the previous results, it seems that the best representations of phrases are learned by a model with the hierarchical softmax and subsampling.

  NEG-15 with 10−5 subsampling HS with 10−5 subsampling
Vasco de Gama Lingsugur Italian explorer
Lake Baikal Great Rift Valley Aral Sea
Alan Bean Rebbeca Naomi moonwalker
Ionian Sea Ruegen Ionian Islands
chess master chess grandmaster Garry Kasparov
Table 4: Examples of the closest entities to the given short phrases, using two different models.

5. Additive Compositionality

We demonstrated that the word and phrase representations learned by the Skip-gram model exhibit a linear structure that makes it possible to perform precise analogical reasoning using simple vector arithmetics. Interestingly, we found that the Skip-gram representations exhibit another kind of linear structure that makes it possible to meaningfully combine words by an element-wise addition of their vector representations. This phenomenon is illustrated in Table 5.

Czech + currency Vietnam + capital German + airlines Russian + river French + actress
koruna Hanoi airline Lufthansa Moscow Juliette Binoche
Check crown Ho Chi Minh City carrier Lufthansa Volga River Vanessa Paradis
Polish zolty Viet Nam flag carrier Lufthansa upriver Charlotte Gainsbourg
CTK Vietnamese Lufthansa Russia Cecile De
Table 5: Vector compositionality using element-wise addition. Four closest tokens to the sum of two vectors are shown, using the best Skip-gram model.

The additive property of the vectors can be explained by inspecting the training objective. The word vectors are in a linear relationship with the inputs to the softmax nonlinearity. As the word vectors are trained to predict the surrounding words in the sentence, the vectors can be seen as representing the distribution of the context in which a word appears. These values are related logarithmically to the probabilities computed by the output layer, so the sum of two word vectors is related to the product of the two context distributions. The product works here as the AND function: words that are assigned high probabilities by both word vectors will have high probability, and the other words will have low probability. Thus, if “Volga River” appears frequently in the same sentence together with the wordsRussian” and “river”, the sum of these two word vectors will result in such a feature vector that is close to the vector of “Volga River”.

6. Comparison to Published Word Representations

Many authors who previously worked on the neural network based representations of words have published their resulting models for further use and comparison: amongst the most well known authors are Collobert and Weston (2008), Turian et al. (2010), and Mnih and Hinton (2009). We downloaded their word vectors from the web[3]. Mikolov et al. (2013a) have already evaluated these word representations on the word analogy task, where the Skip-gram models achieved the best performance with a huge margin.

To give more insight into the difference of the quality of the learned vectors, we provide empirical comparison by showing the nearest neighbours of infrequent words in Table 6. These examples show that the big Skip-gram model trained on a large corpus visibly outperforms all the other models in the quality of the learned representations. This can be attributed in part to the fact that this model has been trained on about 30 billion words, which is about two to three orders of magnitude more data than the typical size used in the prior work. Interestingly, although the training set is much larger, the training time of the Skip-gram model is just a fraction of the time complexity required by the previous model architectures.

Model

(training time)

Redmond Havel ninjutsu graffiti capitulate
Collobert (50d)

(2 months)

conyers plauen reiki cheesecake abdicate
lubbock dzerzhinsky kohona gossip accede
keene osterreich karate dioramas rearm
Turian (200d)

(few weeks)

McCarthy Jewell gunfire
Alston Arzu emotion
Cousins Ovitz impunity
Mnih (100d)

(7 days)

Podhurst Pontiff anaesthetics Mavericks
Harlang Pinochet monkeys planning
Agarwal Rodionov Jews hesitated
Skip-Phrase

(1000d, 1 day)

Redmond Wash. Vaclav Havel ninja spray paint capitulation
Redmond Washington president Vaclav Havel martial arts grafitti capitulated
Microsoft Velvet Revolution swordsmanship taggers capitulating
Table 6: Examples of the closest tokens given various well known models and the Skip-gram model trained on phrases using over 30 billion training words. An empty cell means that the word was not in the vocabulary.

7. Conclusion

This work has several key contributions. We show how to train distributed representations of words and phrases with the Skip-gram model and demonstrate that these representations exhibit linear structure that makes precise analogical reasoning possible. The techniques introduced in this paper can be used also for training the continuous bag-of-words model introduced in Mikolov et al. (2013a).

We successfully trained models on several orders of magnitude more data than the previously published models, thanks to the computationally efficient model architecture. This results in a great improvement in the quality of the learned word and phrase representations, especially for the rare entities. We also found that the subsampling of the frequent words results in both faster training and significantly better representations of uncommon words. Another contribution of our paper is the Negative sampling algorithm, which is an extremely simple training method that learns accurate representations especially for frequent words.

The choice of the training algorithm and the hyper-parameter selection is a task specific decision, as we found that different problems have different optimal hyperparameter configurations. In our experiments, the most crucial decisions that affect the performance are the choice of the model architecture, the size of the vectors, the subsampling rate, and the size of the training window.

A very interesting result of this work is that the word vectors can be somewhat meaningfully combined using just simple vector addition. Another approach for learning representations of phrases presented in this paper is to simply represent the phrases with a single token. Combination of these two approaches gives a powerful yet simple way how to represent longer pieces of text, while having minimal computational complexity. Our work can thus be seen as complementary to the existing approach that attempts to represent phrases using recursive matrix-vector operations (Socher et al., 2012).

We made the code for training the word and phrase vectors based on the techniques described in this paper available as an open-source project[4].

Footnotes

References

2013a

  • (Mikolov et al., 2013a) ⇒ Tomas Mikolov, Kai Chen, Greg Corrado, and Jeffrey Dean. Efficient estimation of word representations in vector space. ICLR Workshop, 2013.

2013b

  • (Mikolov et al., 2013b)Tomas Mikolov, Wen-tau Yih and Geoffrey Zweig. Linguistic Regularities in Continuous Space Word Representations. In: Proceedings of NAACL HLT, 2013.

2013c

  • (Rumelhart et al., 1986) ⇒ David E Rumelhart, Geoffrey E Hintont, and Ronald J Williams. Learning representations by backpropagating errors. Nature, 323(6088):533–536, 1986.

2013d

  • (Turney, 2013) ⇒ Peter D. Turney. Distributional semantics beyond words: Supervised learning of analogy and paraphrase. In Transactions of the Association for Computational Linguistics (TACL), 353–366, 2013.

2012a

  • (Gutmann & Hyvarinen, 2012) ⇒ Michael U Gutmann and Aapo Hyvarinen. Noise-contrastive estimation of unnormalized statistical models, with applications to natural image statistics. The Journal of Machine Learning Research, 13:307–361, 2012.

2012b

  • (Mikolov, 2012) ⇒ Tomas Mikolov. Statistical Language Models Based on Neural Networks. PhD thesis, PhD Thesis, Brno University of Technology, 2012.

2012c

  • (Mnih & Teh, 2012) ⇒ Andriy Mnih and Yee Whye Teh. A fast and simple algorithm for training neural probabilistic language models. arXiv preprint arXiv:1206.6426, 2012.

2012d

  • (Socher et al., 2012) ⇒ Richard Socher, Brody Huval, Christopher D. Manning, and Andrew Y. Ng. Semantic Compositionality Through Recursive Matrix-Vector Spaces. In: Proceedings of the 2012 Conference on Empirical Methods in Natural Language Processing (EMNLP), 2012.

2011a

  • (Glorot et al., 2011) ⇒ Glorot, Antoine Bordes, and Yoshua Bengio. Domain adaptation for large-scale sentiment classification: A deep learning approach. In ICML, 513–520, 2011.

2011b

  • (Mikolov et al., 2011a) ⇒ Tomas Mikolov, Stefan Kombrink, Lukas Burget, Jan Cernocky, and Sanjeev Khudanpur. Extensions of recurrent neural network language model. In Acoustics, Speech and Signal Processing (ICASSP), 2011 IEEE International Conference on, pages 5528–5531. IEEE, 2011.

2011c

  • (Mikolov et al., 2011b) ⇒ Tomas Mikolov, Anoop Deoras, Daniel Povey, Lukas Burget and Jan Cernocky. Strategies for Training Large Scale Neural Network Language Models. In Proc. Automatic Speech Recognition and Understanding, 2011.

2011d

  • (Socher et al., 2011) ⇒ Richard Socher, Cliff C. Lin, Andrew Y. Ng, and Christopher D. Manning. Parsing natural scenes and natural language with recursive neural networks. In: Proceedings of the 26th International Conference on Machine Learning (ICML), volume 2, 2011.

2011e

  • (Weston et al., 2011) ⇒ Jason Weston, Samy Bengio, and Nicolas Usunier. Wsabie: Scaling up to large vocabulary image annotation. In: Proceedings of the Twenty-Second international joint conference on Artificial Intelligence-Volume Volume Three, pages 2764–2770. AAAI Press, 2011.

2010a

  • (Turian et al., 2010)</ref> ⇒ Joseph Turian, Lev Ratinov, and Yoshua Bengio. Word representations: a simple and general method for semi-supervised learning. In: Proceedings of the 48th Annual Meeting of the Association for Computational Linguistics, pages 384–394. Association for Computational Linguistics, 2010.

2010b

  • (Turney & Pantel, 2010) ⇒ Peter D. Turney and Patrick Pantel. From frequency to meaning: Vector space models of semantics. In Journal of Artificial Intelligence Research, 37:141-188, 2010.

2009

  • (Mnih & Hinton, 2009) ⇒ Andriy Mnih and Geoffrey E Hinton. A scalable hierarchical distributed language model. Advances in Neural Information Processing Systems, 21:1081–1088, 2009.

2008

  • (Collobert & Weston, 2008) ⇒ Ronan Collobert and Jason Weston. A unified architecture for natural language processing: deep neural networks with multitask learning. In: Proceedings of the 25th International Conference on Machine learning, pages 160–167. ACM, 2008.

2007

  • (Schwenk, 2007)Holger Schwenk. Continuous space language models. Computer Speech and Language, vol. 21, 2007.

2005

  • (Morin & Bengio, 2005) ⇒ Frederic Morin and Yoshua Bengio. Hierarchical probabilistic neural network language model. In: Proceedings of the international workshop on artificial intelligence and statistics, pages 246–252, 2005.

2003

  • (Bengio et al., 2003) ⇒ Yoshua Bengio, Rejean Ducharme, Pascal Vincent, and Christian Janvin. A neural probabilistic language model. The Journal of Machine Learning Research, 3:1137–1155, 2003.

BibTeX

@inproceedings{2013_DistributedRepresentationsofWor,
  author    = {Tomas Mikolov and
 [[Ilya Sutskever]] and
               Kai Chen and
               Gregory S. Corrado and
               Jeffrey Dean},
  editor    = {Christopher J. C. Burges and
               Leon Bottou and
               Zoubin Ghahramani and
               Kilian Q. Weinberger},
  title     = {Distributed Representations of Words and Phrases and their Compositionality},
  booktitle = {Advances in Neural Information Processing Systems 26: 27th Annual
               Conference on Neural Information Processing Systems 2013.},
  pages     = {3111--3119},
  year      = {2013},
  url       = {https://proceedings.neurips.cc/paper/2013/hash/9aa42b31882ec039965f3c4923ce901b-Abstract.html},
}


 AuthorvolumeDate ValuetitletypejournaltitleUrldoinoteyear
2014 DistributedRepresentationsofWorJeffrey Dean
Tomáš Mikolov
Ilya Sutskever
Kai Chen
Greg S Corrado
Distributed Representations of Words and Phrases and their Compositionality2014